Alevel数学 | 曾被考试局列入Top 5的难题,到底有多难?

今天我们来讨论一下
如何解决Alevel的数学难题
在学习Alevel数学的过程中,
同学们是否经常会遇到比IGCSE,
GCSE数学更加令人头秃的问题?

在 Edexcel考试局的数据统计中
曾被列为Top 5的难题之一
2019年Alevel Pure Math Paper 2
数学试卷中
是一道有关于Vector的经典题型
这道题总共6分
而当年考生的平均得分只有33%!
那这道Alevel题究竟难点在哪?
下面就请同学们跟我一起来看看吧!

看题之前,先带大家一起来复习一下相关知识点:
Alevel 数学Vector 向量知识点的重点:向量长度、向量加减法
难点:向量夹角和向量点乘
做好准备,题目来啦!

千万不要害怕,
我们一起来梳理一下做题方法吧!
把文字信息转化成数学语言!
通过阅读题目中提供给我们的5句文字描述,我们可以将三角形OAB补充完整。如下图所示:


Alevel Top5 难题
思考方向:
先找到所求的向量能够在哪些三角形中表达,并根据已知信息,列出最终的等式。
(适用于所有向量问题哦)
接下来,我们就可以开始解题了!
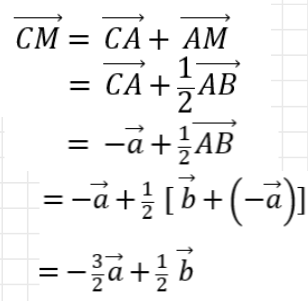
(a)小问:
我们需要用向量a,b来表示出CM:
Step 1: 首先CM在三角形CAM中,已知AC,且M是AB的中点。

Step 2:AB在三角形ABO中,所以我们能将AB用向量a,b表示出。在这里要注意向量的方向,和所使用的运算符号。

Step 3: 将已知表达式代入等式中,并化简。

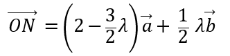
(b)小问:
我们需要用已知的信息表达出

同学们这时是否由于题干中λ的出现,而不知所措?
别慌!
我们首先暂时把它看作为一个fraction,找到最简单的两个向量间的关系。
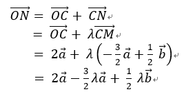
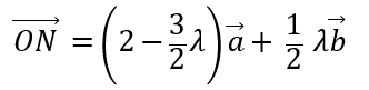
Step 1: 由于我们需要用向量a,b来写出ON的表达式,从图4中我们发现ON在三角形ONC中,ON=OC+CN。已知OC,且已知CN与CM在一条直线上,所以可以得到 CN=λCM 。从(a)文中我们也得到了CM的表达式。

Step 2: 将已知的表达式代入,并化简。

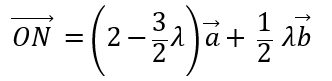
Step 3: 并在最后将等式整合成与题目中一样的格式。

(c)小问:
最后,我们需要证明ON:NB = 2:1。
解答这类题目,我们首先需要
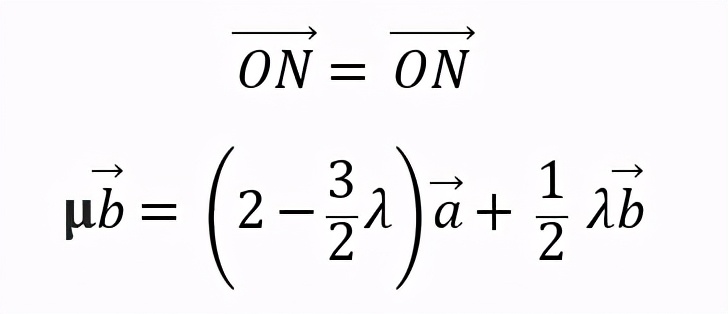
将ON用两个等式表示,然后比较这两个等式的系数。
Step 1: 在(b)中,我们已经知道了其中一个等式:

Step 2: 已知点O, N, B在一条直线上,已知OB=b,且OB是ON的倍数,所以我们可以建立如下的关系等式。

Step 3: 整合Step 1和Step 2中的内容,并建立等式。

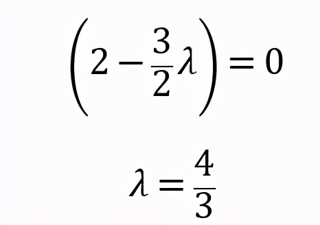
Step 4: 由于等式左边没有a,而等式右边的系数是2-3λ:

将λ的值代入μ等式:

Step 5: 回到Step 2中找到的关系式

Step 6: 最后将ON与NB的等式相除,

大家有没有学会如何解决向量难题?
了解了解题步骤之后,
不要忘记自己动手实践一遍,
把答案遮起来,自己来解一遍,
这样才能能够更好地巩固哦~
如果对Alevel数学学习遇到任何疑问
都欢迎联系我们~

~END~
预约私人定制Alevel各科在线试听
获取私人定制学习计划


